728x90
반응형
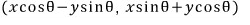
점 (x, y)를 원점을 중심으로 θ만큼 회전시킨 점의 좌표는

행렬로 나타내 보면 (교육과정은 아니지만)

그림으로 그려보면

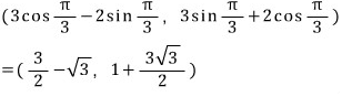
문제1)
점 (3, 2)를 원점을 중심으로 60˚만큼 회전시킨 점의 좌표는?

그림으로 그려보면 이런 상황입니다.

문제2)
점 (3, 2)를 원점을 중심으로 90˚만큼 회전시킨 점의 좌표는?

닮음을 이용해서 풀어보면

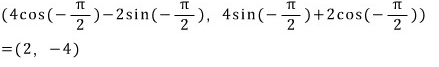
문제3)

그림으로 그려보면 이런 상황입니다.

닮음을 이용해서 풀어보면

또, 각을 아래 그림과 같이 해석하면
회전시킨 점의 좌표를 간단하게 바로 구할 수도 있습니다.

이해가 잘 안되면 '삼각비로 좌표 나타내기' 참고요~
이 문제는 풀이가 세 가지나 있네요
여러분의 취향(수학실력)은 어느 풀이인가요..?
쌤들은 여러분의 풀이를 보면
여러분의 수학실력을 얼추 가늠할 수 있답니다. ;;;;;
문제4)
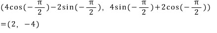
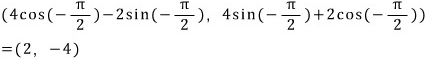
점 (5, 4)를 (1, 2)를 중심으로 시곗바늘이 도는 방향으로 90˚만큼 회전시킨 점의 좌표는?
(1, 2)를 원점으로 옮기면
(5, 4)는 (4, 2)로 옮겨집니다.

이제 (4, 2)를 -90˚만큼 회전시키고

다시 원상복귀(?)하면 (3, -2)가 됩니다.
이 문제는 걍
닮음을 이용해서 푸는 게 훨씬 쉬울 듯요

위에서 닮음을 이용한 풀이들은
달랑 그림만 그려놓고 설명은 하지 않았는데
이건 여러분이
스스로 해결하는 걸로... ^-^// ;;;;;
요기로 가면 → www.gajok.co.kr/math.html
다른 글들도 편리하게 볼 수 있습니다.

728x90
반응형
'수학' 카테고리의 다른 글
| 항등식 (3) (0) | 2021.04.01 |
|---|---|
| 삼각비로 좌표 나타내기 (0) | 2021.03.29 |
| 이중근호 (1) | 2021.03.22 |
| 평균·분산·표준편차 (4) (0) | 2021.03.18 |
| 평균·분산·표준편차 (3) (0) | 2021.03.15 |