문제1)
다음 등식이 x, y에 대한 항등식이 되도록 하는 상수 a, b, c의 값은?

계수를 비교하거나 (계수비교법)

아무 숫자나 대입해서 풀면 됩니다. (수치대입법)

근데, 이 문제를 굳이
수치대입법으로 풀 필요는 없겠죠..?! ;;;;;
문제2)
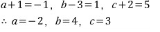
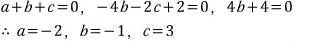
x-y=2 를 만족시키는 모든 실수 x, y에 대하여

y=x-2 이므로 대입하고

정리하고

계수비교하면

수치대입도 해보면

역시
수치대입보다는 계수비교가 편하죠..?!
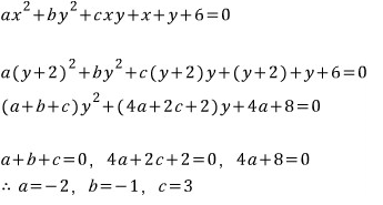
확인도 해볼 겸
식을 y에 대한 항등식으로 바꿔볼까요
x=y+2 이므로
대입하고 정리하고 계수비교해서 풀면

수치대입은 여러분이 해보세요~
뭐... 안 해봐도 딱히 상관 없습니다. ;;;;;
암튼, 식을
x에 대한 항등식으로 정리해서 푸나 (계수비교든 수치대입이든)
y에 대한 항등식으로 정리해서 푸나 (계수비교든 수치대입이든)
아무런 상관이 없습니다.
그런데..!!
이럴 바엔 아예 첨부터
수치대입하는 것도 좋은 선택이 될 것 같네요

한가지 주의할 것이 있다면
x값, y값을 대입할 때
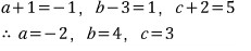
문제1에서는
x값, y값을 서로 상관없이 아무 값이나 내맘대로 대입해도 됐지만
이 문제에서는
x-y=2 라는 조건이 주어졌기 때문에
이 등식에 맞는 값을 대입해 줘야 된다는 거..!!
예를 들어
x에 3을 대입하면
y에는 아무 수나 대입하면 안 되고 무조건 1을 대입해야 합니다.
그래야, x-y=2 가 되니까요
문제로 돌아와서

훨씬 편하죠?
결론입니다.
이런 문제는 식을 정리할 필요도 없이
걍 첨부터 수치대입해서 푸는 걸로..!!
단, 주어진 조건에 맞는 숫자로..!!
간단한(?) 내용인데
어째 글이 쫌 길어졌네요 ^-^// ;;;;;
▶ 수학 전체 목록 바로가기 → www.gajok.co.kr/math.html
'수학' 카테고리의 다른 글
| 정수부분과 소수부분 (0) | 2021.04.08 |
|---|---|
| 조립제법 조심하기 (0) | 2021.04.05 |
| 삼각비로 좌표 나타내기 (0) | 2021.03.29 |
| 회전시킨 점의 좌표 (1) | 2021.03.25 |
| 이중근호 (1) | 2021.03.22 |